Zusammensetzung
Wirkstoff: Siltuximab (chimärer (human-muriner) monoklonaler Immunglobulin-G1κ (IgG1κ)-Antikörper, hergestellt in CHO [Chinese Hamster Ovary]- Zellen).
Hilfsstoffe: L-Histidin, L-Histidin-Monohydrochlorid-Monohydrat, Polysorbat-80, Saccharose.
Galenische Form und Wirkstoffmenge pro Einheit
Pulver für ein Konzentrat zur Herstellung einer Infusionslösung.
Durchstechflaschen zu 100 mg und 400 mg Siltuximab.
Indikationen/Anwendungsmöglichkeiten
Sylvant ist angezeigt zur Behandlung von erwachsenen Patienten mit multizentrischer Castleman-Krankheit (MCD), die HIV (humanes Immundefizienz-Virus) negativ und HHV-8 (humanes Herpesvirus-8) negativ sind.
Dosierung/Anwendung
Die intravenöse (i.v.) Infusion von Sylvant muss von qualifiziertem Gesundheitspersonal verabreicht werden.
Umfassende Anweisungen zur intravenösen Infusion von Sylvant werden unter «Hinweise für den Gebrauch, die Handhabung und Entsorgung» gegeben.
Sylvant 11 mg/kg wird bis zum Therapieversagen alle 3 Wochen über eine Stunde als intravenöse Infusion verabreicht.
Blutuntersuchungen sollten während der ersten 12 Monate und danach alle 3 Dosierzyklen vor jeder Dosis der Sylvant-Therapie durchgeführt werden. Der Verschreiber sollte eine Verzögerung der Therapie in Betracht ziehen, wenn die in Tabelle 1 aufgeführten Behandlungskriterien nicht erfüllt sind, bevor Sylvant verabreicht wird. Eine Dosisreduktion wird nicht empfohlen.
Tabelle 1: Behandlungskriterien
|
Laborparameter |
Anforderungen vor der ersten Verabreichung von Sylvant |
Wiederbehandlungskriterien |
|
Absolute Neutrophilenzahl |
≥1,0× 109/l |
≥1,0× 109/l |
|
Blutplättchenzahl |
≥75× 109/l |
≥50× 109/l |
|
Hämoglobina |
<170 g/l |
<170 g/l |
a Sylvant kann den Hämoglobinwert bei MCD-Patienten erhöhen.
Die Sylvant-Therapie sollte unterbrochen werden, wenn der Patient eine schwere Infektion oder eine schwere nicht-hämatologische Toxizität aufweist. Nach der Genesung kann erneut mit derselben Dosis begonnen werden.
Wenn der Patient eine schwere infusionsbezogene Reaktion, eine Anaphylaxie, eine schwere allergische Reaktion oder ein Zytokin-Freisetzungssyndrom in Verbindung mit der Sylvant-Infusion entwickelt, sollte die weitere Verabreichung von Sylvant abgebrochen werden.
Wenn während der ersten 48 Wochen der Behandlung mehr als 2 Dosen aufgrund von behandlungsbedingten Toxizitäten verzögert gegeben wurden, soll ein Behandlungsabbruch in Erwägung gezogen werden.
Spezielle Dosierungsanweisungen
Patienten mit Lebererkrankungen
Es wurden keine formellen Studien zur Untersuchung der Pharmakokinetik von Sylvant an Patienten mit Leberfunktionsstörung durchgeführt (siehe «Pharmakokinetik – Leberfunktionsstörungen»).
Patienten mit Nierenerkrankungen
Es wurden keine formellen Studien zur Untersuchung der Pharmakokinetik von Sylvant an Patienten mit Nierenfunktionsstörung durchgeführt. (siehe «Pharmakokinetik – Nierenfunktionsstörungen»)
Ältere Patienten
In klinischen Studien wurden keine altersbezogenen Unterschiede in der Pharmakokinetik (PK) oder im Sicherheitsprofil beobachtet. Es ist keine Dosisanpassung erforderlich (siehe «Pharmakokinetik – Ältere Patienten»).
Pädiatrie
Sicherheit und Wirksamkeit von Sylvant bei pädiatrischen Patienten sind bisher noch nicht nachgewiesen worden.
Kontraindikationen
Schwere Überempfindlichkeit gegen den Wirkstoff oder einen der sonstigen Bestandteile.
Warnhinweise und Vorsichtsmassnahmen
Zeitgleich auftretende schwere Infektionen
Infektionen, einschliesslich lokalen Infektionen, sollten vor der Verabreichung von Sylvant behandelt werden. Während klinischer Studie wurden schwere Infektionen einschliesslich Pneumonie und Sepsis beobachtet (siehe «Unerwünschte Wirkungen»).
Sylvant kann Anzeichen und Symptome einer akuten Entzündung maskieren, sowie unter anderem auch Fieber und den Anstieg von Akutphaseproteinen, wie z.B. C-reaktives Protein (CRP), unterdrücken. Daher sollten Verschreiber Patienten, die diese Behandlung erhalten, engmaschig überwachen, um schwere Infektionen frühzeitig zu erkennen.
Impfungen
Attenuierte Lebendimpfstoffe sollten nicht zeitgleich mit oder innerhalb von 4 Wochen vor der Einleitung der Behandlung mit Sylvant verabreicht werden, weil die klinische Sicherheit bislang nicht erwiesen ist und die IL-6 Inhibition die normale Immunantwort auf neue Antigenen beeinträchtigen kann.
Lipidparameter
Erhöhungen der Triglyceride und des Cholesterins (Lipidparameter) wurden bei mit Sylvant behandelten Patienten beobachtet (siehe «Unerwünschte Wirkungen»). Die Patienten mit erhöhten Lipidparametern sollten entsprechend den aktuellen klinischen Richtlinien für die Behandlung von Hyperlipidämie behandelt werden.
Infusionsbedingte Reaktionen und Überempfindlichkeit
Während und nach der i.v. Infusion von Sylvant können leichte bis schwere Infusionsreaktionen auftreten.
Bei Patienten, die während oder nach der Infusion schwere infusionsbedingte Überempfindlichkeitsreaktionen (z.B. Anaphylaxie) haben, sollte die Behandlung mit Sylvant abgebrochen werden. Die Behandlung schwerer Infusionsreaktionen sollte auf den Anzeichen und Symptomen der Reaktion basieren. Es sollten geeignetes Personal und Medikamente verfügbar sein, um eine eventuell auftretende Anaphylaxie zu behandeln (siehe «Unerwünschte Wirkungen»).
Bei leichten bis mittelschweren Infusionsreaktionen kann nach dem Abklingen der Reaktion ein erneutes Einleiten der Infusion bei einer geringeren Infusionsrate und einer therapeutischen Verabreichung von Antihistaminen, Acetaminophen und Kortikosteroiden in Betracht gezogen werden. Für Patienten, die die Infusion nach diesen Eingriffen nicht vertragen, sollte die Behandlung mit Sylvant abgebrochen werden.
Malignome
Immunmodulierende Arzneimittel können das Risiko für Malignitäten erhöhen. Basierend auf den eingeschränkten, für die Schätzung der Inzidenz von malignen Erkrankungen nicht ausreichenden Erfahrungen mit Siltuximab, deuten die gegenwärtigen Daten nicht auf ein erhöhtes Risiko für Malignitäten hin.
Gastrointestinale Perforation
Gastrointestinale (GI) Perforation wurde in klinischen Studien mit Siltuximab, allerdings nicht in Studien zur MCD, berichtet. Siltuximab soll mit Vorsicht bei Patienten angewendet werden, die ein erhöhtes Risiko für eine GI-Perforation haben. Patienten, die Symptome zeigen, welche mit einer GI-Perforation assoziiert werden können oder mit Verdacht auf eine GI-Perforation, sollen umgehend untersucht werden.
Interaktionen
Es wurden keine formellen Studien zu Wechselwirkungen von anderen Medikamenten mit Sylvant durchgeführt. In nichtklinischen Studien wurde bestätigt, dass IL-6 die Aktivität des Cytochroms P450 (CYP450) verringert. Die Bindung des bioaktiven IL-6 durch Siltuximab kann zu einem verstärkten Metabolismus der CYP450-Substrate führen, weil sich die Aktivität des Enzyms CYP450 normalisiert. Daher hat die gleichzeitige Verabreichung von Sylvant mit CYP450-Substraten mit einem engen therapeutischen Index das Potential, die therapeutischen Medikamentenwirkungen und die Toxizität auf Grund von Veränderungen der CYP450-Signalwege zu verändern. Nach Einleitung oder Abbruch der Verabreichung von Sylvant an Patienten, die mit Begleitmedikamenten behandelt werden, die CYP450-Substrate sind und einen engen therapeutischen Index haben, wird die Überwachung der Wirkung (z.B. Warfarin) oder Konzentration (z.B. Cyclosporin oder Theophyllin) empfohlen. Die Dosis der Begleitmedikamente sollte entsprechend angepasst werden. Die Wirkung von Sylvant auf die Aktivität des Enzyms CYP450 kann nach dem Aussetzen der Therapie über mehrere Wochen bestehen bleiben. Verschreiber sollten zudem mit Vorsicht vorgehen, wenn Sylvant zeitgleich mit CYP3A4-Substrat-haltigen Medikamenten verabreicht wird, wo eine Verringerung der Wirksamkeit nicht wünschenswert wäre (z.B. orale Kontrazeptiva).
Schwangerschaft/Stillzeit
Schwangerschaft
Die Verwendung von Sylvant bei schwangeren Frauen wurde bislang nicht untersucht. Bei Affen wurde nach intravenöser Verabreichung von Siltuximab keine maternale oder fetale Toxizität beobachtet (siehe «Präklinische Daten»). Es ist nicht bekannt, ob Siltuximab bei der Verabreichung an eine schwangere Frau Schäden am Fetus hervorrufen oder die Reproduktionsfähigkeit beeinträchtigen kann. Sylvant sollte schwangeren Frauen nur verabreicht werden, wenn der Nutzen das Risiko deutlich übersteigt. Frauen im gebärfähigen Alter müssen während und bis zu 3 Monate nach der Behandlung eine zuverlässige Verhütungsmethode anwenden.
Verschreiber sollten zudem mit Vorsicht vorgehen, wenn Sylvant zeitgleich mit CYP3A4-Substraten verabreicht wird und eine Verringerung der Wirksamkeit nicht wünschenswert wäre, z.B. bei oralen Kontrazeptiva (siehe «Interaktionen»).
Wie bei anderen Immunglobulin-G-Antikörpern passiert Siltuximab die Plazentaschranke, wie in Studien an Affen beobachtet wurde. Folglich kann bei Kindern von mit Sylvant behandelten Frauen ein erhöhtes Infektionsrisiko bestehen, und bei der Verabreichung von Lebendimpfstoffen an diese Kinder ist Vorsicht geboten (siehe «Präklinische Daten»).
Stillzeit
Es ist nicht bekannt, ob Siltuximab oder dessen Metaboliten in die menschliche Muttermilch übergehen. Weil viele Arzneimittel und Immunglobuline in die menschliche Milch übergehen und aufgrund des Potentials für unerwünschte Wirkungen durch Sylvant bei gestillten Kindern sollte darüber entschieden werden, ob das Stillen abzubrechen oder das Arzneimittel abzusetzen ist, wobei die Wichtigkeit des Arzneimittels für die Mutter berücksichtigt werden sollte. Allfällig kann eine Unterbrechung der Behandlung mit Siltuximab oder eine Unterbrechung des Stillens für die Dauer der Behandlung mit Siltuximab mit entsprechender Berücksichtigung der Halbwertszeit von Siltuximab in Betracht gezogen werden.
Fertilität
Auswirkungen von Siltuximab auf die Fertilität sind bei Patienten bislang nicht beurteilt worden. Bei Affen, denen Siltuximab intravenös verabreicht wurde, wurden keine histopathologischen Veränderungen der reproduktiven Gewebe festgestellt (siehe «Präklinische Daten»). Bei Mäusen, denen das Medikament subkutan verabreicht wurde, wurden keine Auswirkungen auf die männliche oder weibliche Fertilität beobachtet.
Wirkung auf die Fahrtüchtigkeit und auf das Bedienen von Maschinen
Es wurden keine Studien zu den Auswirkungen auf die Fahrtüchtigkeit und das Bedienen von Maschinen durchgeführt. Es ist nicht bekannt, ob Sylvant Auswirkungen auf die Motorik hat.
Unerwünschte Wirkungen
Daten von allen mit Sylvant-Monotherapie behandelten Patienten (n=365) bilden die allgemeine Basis für die Sicherheitsbeurteilung. Tabelle 2 reflektiert die Häufigkeiten identifizierter unerwünschter Wirkungen bei den 82 MCD-Patienten (Studie 1 und Studie 2), die mit der empfohlenen Dosis von 11 mg/kg alle 3 Wochen behandelt wurden.
In Studie 1, einer randomisierten placebokontrollierten Phase-2-Studie zu (MCD), wurden 53 Patienten in den Sylvant-Behandlungsarm randomisiert und mit der empfohlenen Dosis von 11 mg/kg alle 3 Wochen behandelt und 26 Patienten wurden in den Placebo-Arm randomisiert. 13 der 26 mit Placebo behandelten Patienten wechselten später zur Behandlung mit Sylvant über. In Studie 2, einer Phase-1-Studie, wurden 16 von 37 Patienten mit der Castleman-Krankheit mit Sylvant in der empfohlen Dosis von 11 mg/kg alle 3 Wochen behandelt.
Die häufigsten unerwünschten Arzneimittelwirkungen (>20% der Patienten) während der Behandlung mit Sylvant in den klinischen Studien zu MCD waren Infektionen der oberen Atemwege, Juckreiz und das makulopapulöse Exanthem. Die schwerste mit der Verwendung von Sylvant assoziierte unerwünschte Wirkung war eine anaphylaktische Reaktion.
Andere seltene und klinisch relevante unerwünschte Wirkungen bei der empfohlenen Dosis zu MCD waren Sepsis, Polycythämie (Häufigkeit <2%; je 1 Ereignis) und Pneumonien (Häufigkeit von 3%; 3 Ereignisse).
Die bei mit Sylvant in der empfohlenen Dosis von 11 mg/kg alle 3 Wochen behandelten MCD-Patienten beobachteten unerwünschten Wirkungen sind in Tabelle 2 zusammengefasst.
Tabelle 2: Unerwünschte Wirkungen bei mit Sylvant behandelten Patienten in klinischen Studien zu MCD
|
|
Sylvant + BSCaN=82 |
Placebo + BSCbN=26 |
|
Alle Grade(%) |
Grad 3-4(%) |
Alle Grade(%) |
Grad 3-4(%) |
Infektionen und Infestationen
|
|
Nasopharyngitis |
13,4% |
0,0% |
3,8% |
0,0% |
|
Infektion der oberen Atemwege |
37,8% |
0,0% |
15,4% |
3,8% |
Störungen des Blut- und Lymphsystems
|
|
Neutropenie |
11,0% |
3,7% |
7,7% |
3,8% |
|
Thrombozytopenie |
13,4% |
2,4% |
3,8% |
3,8% |
Störungen des Immunsystems
|
|
Anaphylaktische Reaktion |
1,2% |
1,2% |
0,0% |
0,0% |
Stoffwechsel und Ernährungsstörungen
|
|
Hypertriglyceridämie |
13,4% |
2,4% |
0,0% |
0,0% |
Funktionsstörungen der Gefässe
|
|
Bluthochdruck |
13,4% |
7,3% |
3,8% |
0,0% |
Gastrointestinale Störungen
|
|
Abdominale Schmerzen |
15,9% |
0,0% |
3,8% |
3,8% |
Funktionsstörungen der Haut und des Unterhautzellgewebes
|
|
Makulopapulöser Ausschlag |
23,2% |
1,2% |
11,5% |
0,0% |
|
Juckreiz |
29,3% |
0,0% |
11,5% |
0,0% |
Funktionsstörungen der Nieren und ableitenden Harnwege
|
|
Nierenfunktionsstörungen |
12,2% |
2,4% |
0,0% |
0,0% |
Allgemeine Störungen und Reaktionen an der Applikationsstelle
|
|
Lokalisiertes Ödem |
14,6% |
2,4% |
3,8% |
0,0% |
Untersuchungen
|
|
Gewichtszunahme |
14,6% |
2,4% |
0,0% |
0,0% |
a Alle mit Sylvant in der empfohlenen Dosis von 11 mg/kg alle 3 Wochen behandelten Patienten mit der Castleman-Krankheit [einschliesslich Crossover-Patienten (N=82)], BSC=Best Supportive Care (Beste Supportive Behandlungsmassnahmen).
b Alle mit Placebo behandelten Patienten mit der Castleman-Krankheit (N=26).
Infusionsbedingte Reaktionen und Überempfindlichkeit
In klinischen Studien war Sylvant bei 4,8% der mit Sylvant-Monotherapie behandelten Patienten mit einer infusionsbezogenen Reaktion oder Überempfindlichkeitsreaktion (schwere Reaktion bei 0,8%) assoziiert.
Überdosierung
Es wurden keine Fälle einer Überdosis gemeldet. Die wiederholte Dosierung von 15 mg/kg alle 3 Wochen erfolgte ohne zusätzliche unerwünschte Medikamentenwirkungen.
Eigenschaften/Wirkungen
ATC-Code: L04AC11
Wirkungsmechanismus
Siltuximab ist ein Mensch/Maus chimärer monoklonaler Antikörper, der mit löslichen bioaktiven Formen humanen Interleukins-6 (IL-6) stabile Komplexe mit hoher Affinität bildet. Siltuximab verhindert die Bindung von humanem IL-6 an lösliche und membrangebundene IL-6-Rezeptoren (IL-6R) und hemmt somit die Bildung des hexameren Signalkomplexes mit gp130 auf der Zelloberfläche. IL-6 ist ein proinflammatorisches Zytokin, das von einer Vielfalt von Zelltypen produziert wird, u.a. von T- und B-Zellen, Lymphozyten, Monozyten, Makrophagen und Fibroblasten sowie malignen Zellen. IL-6 ist nachweislich an verschiedenen normalen physiologischen Prozessen wie der Einleitung der Immunglobulinsekretion, der Einleitung der hepatischen Synthese von Akut-Phasen-Proteinen und der Stimulation der hämatopoetischen Vorläuferzellproliferation und -differenzierung beteiligt. Die Überproduktion von IL-6 bei chronisch-entzündlichen Erkrankungen und Malignitäten wurde mit Anämie und Kachexie in Verbindung gebracht und es wird angenommen, dass sie eine zentrale Rolle beim Ankurbeln der Plasmazellproliferation und systemischen Manifestationen bei Patienten mit Castleman-Krankheit spielt.
Pharmakodynamik
In-vitro hemmte Siltuximab dosisabhängig das Wachstum einer IL-6‑abhängigen murinen Plasmozytomzelllinie in Reaktion auf humanes IL-6. In Kulturen humaner Hepatomzellen wurde die IL-6-stimulierte Produktion des Akutphaseproteins Serum-Amyloid A durch Siltuximab dosisabhängig gehemmt. Gleichermassen wurde in Kulturen humaner Burkitt-Lymphom-Zellen die Produktion von Immunglobulin M (IgM) in Reaktion auf IL-6 von Siltuximab dosisabhängig gehemmt.
Biomarker
IL-6 stimuliert die Akutphasen-Ausschüttung von CRP. Der Wirkmechanismus von Siltuximab besteht in der Neutralisierung der Bioaktivität von IL-6, die indirekt durch die Suppression von CRP gemessen werden kann. Die Behandlung mit Sylvant bei MCD führt zu schnellen und nachhaltigen Verringerungen der CRP-Serumkonzentrationen. Die Messung der IL-6-Konzentrationen im Serum oder Plasma während der Behandlung sollte nicht als pharmakodynamischer Marker verwendet werden, da Siltuximab-neutralisierte Antikörper-IL-6-Komplexe die derzeitigen immunologisch-basierten IL-6-Quantifizierungsmethoden beeinträchtigen.
Klinische Wirksamkeit
Studie 1
Eine internationale, 2:1-randomisierte, doppelt verblindete, Placebo-kontrollierte Phase-2-Studie wurde durchgeführt, um die Wirksamkeit und Sicherheit von Sylvant (11 mg/kg alle 3 Wochen) im Vergleich zum Placebo in Kombination mit den besten supportiven Behandlungsmassnahmen bei Patienten mit MCD zu bewerten. Die Behandlung wurde bis zum Therapieversagen (definiert als Krankheitsprogression, basierend auf einer Verstärkung der Symptome, radiologischer Progression oder Verschlechterung des Leistungsstatus) oder einer inakzeptablen Toxizität fortgesetzt. Insgesamt wurden 79 Patienten mit symptomatischer MCD randomisiert und behandelt. Das durchschnittliche Alter betrug 47 Jahre (Bereich 20-74) im Sylvant-Arm und 48 Jahre (Bereich 27-78) im Placebo-Arm. Es wurden mehr männliche Patienten in den Placebo-Arm aufgenommen (85% im Placebo-Arm gegenüber 56% im Sylvant-Arm). Der ECOG-Leistungsstatus-Score (0/1/2) bei Therapiebeginn betrug 42%/45%/13% im Sylvant-Arm bzw. 39%/62%/0% im Placebo-Arm. Bei Therapiebeginn hatten 55% der Patienten im Sylvant-Arm und 65% der Patienten im Placebo-Arm zuvor systemische Therapien zur Behandlung von MCD erhalten. 30% der Patienten im Sylvant-Arm sowie 31% der Patienten im Placebo-Arm verwendeten Kortikosteroide. Der histologische Subtyp war in beiden Behandlungsarmen ähnlich mit 33% für den hyalin-vaskulären Subtyp, 23% für den plasmazytischen Subtyp und 44% für den gemischten Subtyp. Die krankheitsbezogenen Laborparameter sind in Tabelle 3 zusammengefasst. Die CRP- und Erythrozyten-Sedimentationsrate (ESR) zeigte eine breite Vielfalt über beide Behandlungsarme.
Tabelle 3: Krankheitsbezogene Laborparameter
|
|
Sylvant + BSC* |
Placebo + BSC |
|
Patienten in der Intent-to-treat-Population |
53 |
26 |
|
Hämoglobin (g/l)-Mittelwert (Standardabweichung) |
115,8 (24,70) |
130,0 (25,70) |
|
Thrombozyten (109/l)-Mittelwert (Standardabweichung) |
323,2 (156,58) |
302,6 (123,54) |
|
Albumin (g/dl)-Mittelwert (Standardabweichung) |
3,5 (0,76) |
3,6 (0,46) |
|
ESR (mm/Std.)-Mittelwert (Standardabweichung) |
68,3 (48,66) |
34,6 (35,06) |
|
CRP (mg/l)-Mittelwert (Standardabweichung) |
43,2 (53,63) |
24,8 (34,53) |
|
Fibrinogen (µmol/l)-Mittelwert (Standardabweichung) |
16,9 (7,52) |
15,3 (7,48) |
* Best Supportive Care (bestmögliche Begleitbehandlung).
Der primäre Endpunkt der Studie war das dauerhafte und symptomatische Ansprechen, definiert als Tumoransprechen, bewertet durch eine unabhängige Begutachtung und ein vollständiges Abklingen bzw. die Stabilisierung prospektiv erfasster MCD-Symptome für mindestens 18 Wochen ohne Therapieversagen.
Studie 1 demonstrierte eine statistisch signifikante Verbesserung der unabhängig begutachteten Tumor- und Symptomansprechrate im Sylvant-Arm, verglichen mit dem Placebo-Arm (34% vs. 0%, 95%-iges Konfidenzintervall: 11,1; 54,8; p=0,0012). Empfindlichkeitsanalysen unterstützten des Weiteren die primäre Endpunktanalyse, die eine signifikant höhere vom Prüfarzt bewertete dauerhafte Tumor- und Symptomansprechrate von 45% bei mit Sylvant behandelten Patienten verglichen mit 0% der mit Placebo behandelten Patienten zeigte (p <0,0001). Die allgemeine Tumoransprechrate wurde basierend auf den modifizierten Cheson-Kriterien sowohl durch die unabhängige Begutachtung als auch die Bewertung durch den Prüfarzt beurteilt.
Die wichtigsten Wirksamkeitsergebnisse aus Studie 1 sind in Tabelle 4 zusammengefasst.
Tabelle 4: Wirksamkeitsendpunkte aus Studie 1
|
Wirksamkeitsendpunkte: |
Sylvant + BSC |
Placebo + BSC |
p-Werta |
Primärer Wirksamkeitsendpunkt
|
|
Dauerhaftes Tumor- und symptomatisches Ansprechen (unabhängige Begutachtung) |
18/53 (34.0%) |
0/26 (0%) |
0.0012 |
Sekundäre Wirksamkeitsendpunkte
|
|
Bestes Tumoransprechen (unabhängige Begutachtung) |
20/53 (37.7%) |
1/26 (3.8%) |
0.0022 |
|
Bestes Tumoransprechen (Begutachtung durch den Prüfarzt) |
27/53 (50.9%) |
0/26 (0%) |
<0.0001 |
|
Zeit bis zum Therapieversagen |
Nicht erreicht |
134 days |
0,0084; HR 0,418 |
|
Hämoglobinanstieg >15 g/l in Woche 13/Hämoglobinantwort-bewertbare Population |
19/31 (61.3%) |
0/11 (0%) |
0.0002 |
|
Dauer des Tumor- und Symptomansprechens (Tage) - unabhängige Begutachtung; Mittelwert (Minimum, Maximum) |
340 (55, 676)b |
Nicht zutreffendc |
|
|
Dauerhaftes komplettes Symptomansprechend |
13/53 (24.5%) |
0/26 (0%) |
0.0037 |
|
Dauer des dauerhaften kompletten Symptomansprechens (Tage) Mittelwert (Minimum, Maximum) |
472 (169, 762)e |
Nicht zutreffendc |
|
a Angepasst für die Kortikosteroid-Verwendung bei der Randomisierung.
b Zum Zeitpunkt der primären Analyse wurden Daten für 19 von 20 Tumor- und Symptom-Respondern aufgrund eines fortlaufenden Ansprechens zensiert.
c Nichtzutreffend, es gab keine Responder im Placebo-Arm, daher ist die Dauer nicht anwendbar.
d Komplettes Symptomansprechen ist definiert als 100%ige Senkung des MCD-Gesamtsymptomscores vom Therapiebeginn, aufrechterhalten für mindestens 18 Wochen vor einem Therapieversagen.
e Daten aus 11 von 13 dauerhaften kompletten Symptom-Respondern wurden zensiert aufgrund eines fortgesetzten Ansprechens.
MCD-bezogene Anzeichen und Symptome wurden prospektiv erfasst. Ein Gesamtscore aller Symptome (bezeichnet als der MCD-bezogene Gesamtsystemscore) ist die Summe der Schweregrade (NCI-CTCAE-Grade) der MCD-bezogenen Anzeichen und Symptome [allgemeine MCD-bezogene (Ermattung, Unwohlsein, Hyperhidrose, Nachtschweiss, Fieber, Gewichtsabnahme, Anorexie, Tumorschmerzen, Atemnot und Juckreiz), Autoimmunerscheinungen, Flüssigkeitsretention, Neuropathie und Hauterkrankungen]. Die prozentuale Veränderung der MCD-bezogenen Anzeichen und Symptome und der MCD-bezogene Gesamt-Symptomscore in jedem Zyklus wurde berechnet. Ein komplettes Symptomansprechen wurde definiert als 100%ige Senkung des MCD-bezogenen Gesamtsymptomscores gegenüber dem Therapiebeginn, die für mindestens 18 Wochen aufrechterhalten wurde, bevor ein Therapieversagen eintrat.
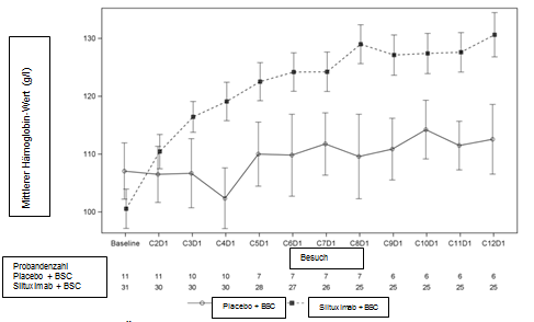
Das Hämoglobin-Ansprechen wurde definiert als Veränderung seit Therapiebeginn um ≥15 g/l in Woche 13. Der durchschnittliche Hämoglobin-Wert je Zyklus während der verblindeten Behandlungsperiode ist in Abbildung 1 dargestellt.
Abbildung 1: Durchschnittlicher Hämoglobin-Wert je Zyklus während der verblindeten Behandlungsperiode

Die einjährige Überlebensrate betrug 100% im Sylvant-Arm und 92% im Placebo-Arm.
Subgruppenanalysen:
Analysen bezüglich der primären und sekundären Endpunkte zu verschiedenen Subgruppen, einschliesslich Alter (<65 Jahre und ≥65 Jahre); ethnische Herkunft (weisshäutig oder nicht); Region (Nordamerika, EMEA und Asien-Pazifik); Kortikosteroid-Verwendung bei Therapiebeginn (ja und nein); vorangegangene Therapie (ja und nein) und MCD-Histologie (plasmatische und gemischte Histologie) zeigten übereinstimmend, dass die Therapiewirkung im Sylvant-Arm besser war, mit Ausnahme der hyalin-vaskulären Subgruppe. Eine durchgehend bessere Therapiewirkung bei mit Sylvant behandelten Patienten wurde in der hyalin-vaskulären Subgruppe über alle wichtigen sekundären Endpunkte nachgewiesen.
Studie 2
Zusätzlich zu Studie 1 sind Wirksamkeitsdaten bei Patienten mit der Castleman-Krankheit aus einer einarmigen Phase-1-Studie (Studie 2) verfügbar. In dieser Studie wurden 37 Patienten mit Sylvant behandelt. 35 dieser Patienten hatten MCD. Insgesamt wurden 16 Patienten mit MCD mit 11 mg/kg alle 3 Wochen behandelt. Die demografischen Patientendaten und Krankheitsmerkmale für alle 3 Wochen mit 11 mg/kg behandelte Patienten waren ähnlich denen in Studie 1. Das mittlere Alter betrug 51 Jahre (21-76) und 50% der Patienten waren Männer. Das ECOG-Leistungsstatus-Score (0/1/2) bei Therapiebeginn war 6%/69%/25%. Neunundsechzig Prozent (69%) der Patienten hatten zuvor systemische Therapien für MCD erhalten. Der histologische Subtyp betrug 44% für den hyalin-vaskulären Subtyp, 50% für den plasmazytischen Subtyp und 6% für den gemischten Subtyp. Dieser mittlere (Standardabweichung) Hämoglobin-Spiegel betrug 125 (23) g/l.
Der in Studie 1 beobachtete klinische Nutzen wurde durch Studie 2 unterstützt. Die durchschnittliche Dauer der Sylvant-Therapie betrug 1.278 Tage und die durchschnittliche Anzahl der Verabreichungen von Sylvant betrug 51 bei Sylvant-Patienten. Bei den 16 alle 3 Wochen mit 11 mg/kg behandelten MCD-Patienten betrug die allgemeine Tumoransprechrate nach unabhängiger Begutachtung 43,8% mit einem 6,3%-igen kompletten Ansprechen. Das Ansprechen sämtlicher Tumore dauerte über >18 Wochen an. Für Patienten mit einem Hämoglobin-Wert unterhalb der Untergrenze des Normalwertes betrug die Hämoglobin-Ansprechrate in Woche 13 50%. Die einjährige Überlebensrate von mit Sylvant behandelten Patienten betrug 100%.
Von den 35 Patienten mit MCD in Studie 2 wurden 19 Patienten in der Verlängerungsstudie weiterhin entweder alle 3 Wochen mit 11 mg/kg (n=11) oder alle 6 Wochen mit 11 mg/kg (n=8) Sylvant behandelt, und alle wurden weiterhin einer Krankheitskontrolle mittels einer Prüfarzt-Bewertung nach einer durchschnittlichen Nachbeobachtungsphase von 5 Jahren (Bereich 3,4-7,2 Jahre) unterzogen.
Pharmakokinetik
Nach der ersten Verabreichung von Siltuximab (Dosisbereich von 0,9 bis 15 mg/kg) stiegen der Bereich unter der Konzentration-Zeit-Kurve (AUC) und die maximale Serumkonzentration (Cmax) Dosis-proportional an. In den klinischen Studien betrug die Siltuximab-Clearance zwischen 4.03–4.59 ml/Tag/kg und die durchschnittliche Halbwertszeit zwischen 17.7–20.6 Tage beim 11 mg/kg Dosis-Level.
Nach wiederholter Dosisverabreichung in der empfohlenen Dosis wurde die Siltuximab-Clearance als zeitlich unveränderlich befunden und die systemische Akkumulation war moderat (Akkumulationsindex 1,7). Die Serumkonzentrationen erreichten bis zur sechsten im Abstand von 3 Wochen erfolgten Infusion stabile Spiegel mit Spitzen- und Talspiegelkonzentrationen von 332 ± 139 und 84 ± 66 mcg/ml.
Immunogenität
Wie bei allen therapeutischen Proteinen besteht ein Potential für die Bildung von Antikörpern gegen das Medikament (Immunogenität). Die Immunogenität von Siltuximab wurde mit Hilfe eines Antigen-Antikörper-bindenden Enzym-Immunassays (EIA) und Elektrochemilumineszenz (ECL)‑basierten Immunassay (ECLIA)-Methoden beurteilt.
In klinischen Studien, einschliesslich Mono- und Kombinationstherapie, waren Proben von insgesamt 411 Patienten zum Test auf Anti-Siltuximab-Antikörper verfügbar, von denen 168 Patienten mittels eines ECLIA-Assays (hoch arzneimitteltolerant) untersucht wurden. Einer der 168 Patienten (0,6%) wurde zu einem einzelnen Zeitpunkt durch den hoch arzneimitteltoleranten ECLIA-Assay positiv auf Anti-Siltuximab-Antikörper getestet. Kein anderer Patient wurde positiv auf Anti-Siltuximab-Antikörper getestet, so dass dies zu einer Inzidenz von 0,2% für die 411 auswertbaren Patienten führt.
Weitere Immunogenitätsanalysen der einzigen positiven Probe wiesen einen niedrigen Titer von Siltuximab-Antikörpern (1:20) mit nicht-neutralisierenden Eigenschaften auf. Bei dem Patienten, der Antikörper gegen Siltuximab entwickelte, wurden keine Nachweise für ein verändertes Toxizitätsprofil gefunden.
Spezielle Patientengruppen
Es wurden PK-Analysen über die gesamte Population unter Verwendung von Daten von 378 Patienten mit unterschiedlichen Erkrankungen durchgeführt, die Siltuximab als Einzelwirkstoff in Dosen von 0,9 bis 15 mg/kg erhielten. Die Wirkungen verschiedener Kovariate auf die Pharmakokinetik von Siltuximab wurden in den Analysen bewertet.
Die Siltuximab-Clearance stieg mit steigendem Körpergewicht. Es ist jedoch keine Dosisanpassung zum Körpergewicht erforderlich, da die Verabreichung auf einer mg/kg-Basis erfolgt. Die folgenden Faktoren hatten keine klinischen Auswirkungen auf die Siltuximab-Clearance: Geschlecht, Alter und ethnische Herkunft. Die Auswirkung des Siltuximab-Antikörper-Status wurde nicht geprüft, da die Anzahl der Siltuximab-Antikörper-positiven Patienten nicht ausreichend war.
Pädiatrie
Sicherheit und Wirksamkeit von Siltuximab bei pädiatrischen Patienten sind nicht nachgewiesen.
Ältere Patienten
Die Populations-PK von Siltuximab wurde analysiert, um die Auswirkungen demografischer Merkmale zu beurteilen. Die Ergebnisse zeigten keinen signifikanten Unterschied in der PK von Siltuximab bei Patienten über 65 Jahren, verglichen mit Patienten im Alter von 65 Jahren oder jünger.
Nierenfunktionsstörungen
Es wurden keine formalen Studien zu den Auswirkungen von Nierenfunktionsstörungen auf die Pharmakokinetik von Siltuximab durchgeführt. Für Patienten mit bei Therapiebeginn berechneter Creatinin-Clearance von 12 ml/min oder höher wurde keine bedeutende Auswirkung auf die Siltuximab-PK festgestellt. Es waren vier Patienten mit schweren Nierenfunktionsstörungen (Creatinin-Clearance von 12 bis 30 ml/min) in diesem Datensatz eingeschlossen.
Leberfunktionsstörungen
Es wurden keine formalen Studien zu den Auswirkungen von Leberfunktionsstörungen auf die Pharmakokinetik von Siltuximab durchgeführt. Für Patienten mit einem Ausgangswert von Alanin-transaminase bis zum 3,7-fachen der Obergrenze des Normalwertes, einem Albumin-Ausgangswert im Bereich von 1,5 bis 5,8 g/dl und einem Bilirubin-Ausgangswert von 1.7 bis 42.8 mg/dl wurde keine bedeutende Auswirkung auf die Siltuximab-PK festgestellt.
Präklinische Daten
Kanzerogenität und Mutagenität
Nicht-klinische Daten legen kein spezielles Risiko für Menschen basierend auf konventionellen Studien zu wiederholter Dosistoxizität, Reproduktion und Entwicklungstoxizität offen. Formelle Kanzerogenitäts- und Mutagenitätsstudien wurden für Siltuximab nicht durchgeführt.
Reproduktions- und Entwicklungstoxikologie
Fertilität
Siltuximab verursachte bei Makake-Affen keine Toxizität des Reproduktionstraktes. Bei Mäusen, denen subkutan ein monoklonaler Anti-Maus-IL-6-Antikörper in Dosen zu 40 oder 100 mg/kg/Woche verabreicht wurde, wurden keine Auswirkungen auf die männliche oder weibliche Fertilität beobachtet.
Schwangerschaft
Ergebnisse einer Embryo-fetalen Entwicklungsstudie in Bezug auf Siltuximab, das trächtigen Affen (Tag 20-118 der Gestation) intravenös in Dosen zu 9,2 und 46 mg/kg/Woche verabreicht wurde, zeigten keine Siltuximab-bezogene maternale oder fetale Toxizität. Siltuximab trat während der Gestation in die Plazenta über und die Feten wurden während ihrer Entwicklung Siltuximab ausgesetzt. Am Tag 140 der Gestation (ungefähr 25 Tage vor der natürlichen Geburt) waren die fetalen Serumkonzentrationen von Siltuximab ähnlich den maternalen Konzentrationen. Die histopathologische Prüfung lymphatischen Gewebes von Feten an Tag 140 der Gestation zeigte keine morphologischen Abnormalitäten in der Entwicklung des Immunsystems auf.
Toxizität bei wiederholten Dosen
Drei- und sechsmonatige intravenöse Toxikologiestudien in Bezug auf Siltuximab (9,2 mg/kg/Woche oder 46 mg/kg/Woche), die an jungen Affen durchgeführt wurden, zeigten keine Anzeichen für eine Toxizität auf. Eine leichte Verringerung der T-Zellen-abhängigen Antikörperreaktion und eine Verringerung der Grösse der Keimzentren in der Milz nach Keyhole Limpet Hämocyanin-(KLH)-Immunisierung wurden beobachtet. Es wurde angenommen, dass diese pharmakologische Reaktionen auf die IL-6-Hemmung zurückzuführen und nicht von toxikologischer Bedeutung waren.
Sonstige Hinweise
Unverträglichkeiten
Da keine Verträglichkeitsstudien vorliegen, darf Sylvant nicht mit anderen Arzneimitteln gemischt werden.
Haltbarkeit
Das Arzneimittel darf nur bis zu dem auf der Packung mit «EXP» bezeichneten Datum verwendet werden.
Lagerungshinweise
Im Kühlschrank bei 2 °C bis 8 °C lagern. Vor Licht schützen. Ausser Reichweite von Kindern aufbewahren.
Hinweise für die Handhabung
Hinweise für den Gebrauch, die Handhabung und Entsorgung
Aseptische Technik verwenden
-
Die Dosis, das Gesamtvolumen der benötigten rekonstituierten Sylvant-Lösung und die Anzahl der benötigten Anzahl an Durchstechflaschen berechnen. Die empfohlene Nadel für das Präparat ist eine 21‑Gauge, 1,5-Zoll (38 mm)-Nadel. Die Infusionsbeutel (250 ml) müssen Dextrose 5% enthalten und aus Polyvinylchlorid (PVC) Polyolefin (PO), Polypropylen (PP) oder Polyethylen (PE) bestehen. PE-Flaschen können ersatzweise gebrauchen werden
-
Die Sylvant-Durchstechflaschen etwa 30 Minuten lang auf Raumtemperatur erwärmen. Sylvant sollte für die Dauer der Vorbereitung bei Raumtemperatur gehalten werden.
Zur Herstellung des Sylvant Konzentrats (20 mg/ml) muss jede Durchstechflasche wie in der folgenden Tabelle dargestellt rekonstituiert werden.
Tabelle 6: Anleitung für die Rekonstitution
|
Dosisstärke |
Für die Rekonstitution erforderliche Menge des hinzugefügten sterilen Wasser für Injektionszwecke |
Endkonzentration nach Rekonstitution |
|
100 mg Vial |
5.2 ml |
20 mg/ml |
|
400 mg Vial |
20.0 ml |
20 mg/ml |
Die rekonstituierten Durchstechflaschen vorsichtig schwenken (NICHT SCHÜTTELN oder MIXEN oder STARK VERWIRBELN), um die Auflösung des Lyophilisats zu unterstützen. Den Inhalt nicht herausnehmen, bis das Lyophilisat vollständig aufgelöst ist. Das Lyophilisat sollte sich in weniger als 60 Minuten auflösen. Untersuchen Sie das Sylvant-Konzentrat vor der Entnahme auf Partikel und Verfärbungen. Nicht verwenden, wenn die Lösung deutlich unklar ist oder Fremdpartikel und/oder Verfärbungen aufweist.
Das zu verabreichende Gesamtvolumen des Sylvant-Konzentrats wird mit steriler Dextrose 5% auf 250 ml verdünnt: Ein dem zu verabreichenden Gesamtvolumen des Sylvant-Konzentrats entsprechendes Volumen wird aus dem Dextrose 5%-Beutel gezogen und verworfen. Anschliessend wird das zu verabreichende Gesamtvolumen an Sylvant-Konzentrat langsam dem 250-ml-Infusionsbeutel zugefügt. Vorsichtig schwenken.
-
Das rekonstituierte Sylvant-Konzentrat sollte nicht länger als zwei Stunden vor dem Hinzufügen zum Infusionsbeutel aufbewahrt werden. Die Infusion sollte innerhalb von 6 Stunden nach dem Hinzufügen des Konzentrats zum Infusionsbeutel abgeschlossen werden. Die Infusionslösung über einen Zeitraum von 1 Stunde mithilfe von mit PVC, mit Polyurethan (PU) oder PE ausgekleideten Infusionssets mit einem 0,2-Mikron Polyethersulfon(PES)-Inline-Filter verabreichen. Nicht verwendete Reste der Infusionslösung dürfen nicht zur Wiederverwendung aufbewahrt werden.
-
Es wurden keine physikalisch-biochemischen Kompatibilitätsstudien zur Beurteilung der gleichzeitigen Verabreichung von Sylvant mit anderen Wirkstoffen durchgeführt. Sylvant nicht gleichzeitig mit anderen Wirkstoffen in derselben intravenösen Infusionsleitung infundieren.
-
Nicht verwendete Arzneimittel oder Abfallmaterial sind entsprechend den örtlichen Anforderungen zu entsorgen.
Zulassungsnummer
65183 (Swissmedic).
Zulassungsinhaberin
Janssen-Cilag AG, Zug, ZG.